Scroll to:
Hidden burden of chronic non-communicable diseases. Part 1. Prevalence of germline variants associated with cardiovascular diseases in Russian population
https://doi.org/10.47183/mes.2025-370
Abstract
Introduction. Cardiovascular diseases (CVD) are the leading cause of mortality in the Russian Federation. Existing healthcare programs are primarily focused on the treatment of manifest CVD, while the prevalence of genetic risk factors (cardio-germline variants) remains understudied.
Objective. Assessment of the prevalence of pathogenic and likely pathogenic (P/LP) cardio-germline variants in Russian population based on a representative sample.
Materials and methods. The study was conducted using samples from the Genetic Database (GDB) cohort of the Centre for Strategic Planning (FMBA of Russia), comprising 116,794 participants from 86 Russian regions. Whole-genome sequencing (WGS, coverage >30x) of DNA was performed (database of the Centre for Strategic Planning FMBA of Russia). The search and annotation of pathogenic and likely pathogenic (P/LP) variants in 37 genes associated with CVD were performed based on ClinVar. Statistical analysis was conducted using Python (v3.9.12).
Results. P/LP variants in 26 genes were identified in 0.98% (1152) of participants (cumulative allele frequency 0.49%, 424 unique variants). The prevalence by disease groups was as follows: hypercholesterolemia — 0.1704%, structural abnormalities — 0.2218%, arrhythmias — 0.1040%. The most frequent variant was rs5742904 (APOB gene, 0.0545%). When strictly considering only variants with the “reviewed by expert panel” level of evidence (Level A), the prevalence was 0.14%. Significant geographical variations were observed (ranging 321–6250 carriers per 100,000 population), with the highest frequencies in the Chechnya, Khakassia, and Bryansk Oblast. No statistically significant decrease in the proportion of carriers was found in the age group over 75 years, confirming the generally low penetrance of these variants. However, within the group over 75 years, a higher number of carriers was observed among female compared to male subjects (p = 0.013), which may indicate a greater effect of these variants on male carriers.
Conclusions. The study has identified for the first time a significant “hidden burden” of P/LP cardio-germline variants (~1% carriers) in the Russian population. The substantial geographical variations underscore the importance of a regional approach to healthcare resource planning. The absence of an overall decrease in carrier frequency among the elderly, combined with sex-specific differences in age-related dynamics for certain disease groups, highlights the role of modifying factors and variable penetrance. The data obtained are critical for the development of preventive cardiogenetics and the optimization of the CVD prevention system in Russia.
Keywords
For citations:
Yudin V.S., Mamchur A.A., Ivanov M.V., Nikolaeva E.A., Kashtanova D.A., Daniel V.V., Mitrofanov S.I., Keskinov A.A., Kuzmina L.P., Yudin S.M. Hidden burden of chronic non-communicable diseases. Part 1. Prevalence of germline variants associated with cardiovascular diseases in Russian population. Extreme Medicine. 2026;28(1):19-27. https://doi.org/10.47183/mes.2025-370
INTRODUCTION
Cardiological diseases (CVD) represent one of the major healthcare challenges in the Russian Federation. For a long period of time, they have remained one of the leading causes of mortality.1 In 2023 alone, mortality from various CVD reached 556.7 per 100,000 population. With the aim of preserving and prolonging the lives of CVD patients, in 2019, the Federal project entitled “Combating Cardiovascular Diseases” was launched. Starting from 2025, this project has become part of the new National Project entitled “Long and Active Life.” It should be mentioned that these programs are aimed primarily at managing already diagnosed CVD. However, for preventive purposes, assessment of not only the prevalence of manifest CVD, but also the risk factors for their development is essential, representing an equally important task for modern epidemiology. The conventional approach to assessing the disease burden in a particular country is based on clinical data and lifestyle information. However, in the case of CVD, genetic predisposition plays a significant role in determining individual-level risks [1].
The search for genetic variants associated with the development of chronic non-communicable diseases (NCDs) in general, and cardiovascular diseases (CVD) in particular, is a serious challenge in medical genetics. However, recent progress in sequencing technologies has provided information on the association between specific polymorphisms and various clinical conditions. In 2015, with a view to standardizing the assessment of identified genetic variants, the American College of Medical Genetics and Genomics (ACMG) and the Association for Molecular Pathology (AMP) developed a five-tier classification system [2]. The ACMG/AMP criteria consider various types of data (family segregation, computational predictions of functional effect, data from reliable sources) and categorize a variant into the following classes: pathogenic (P), likely pathogenic (LP), variant of uncertain significance (VUS), likely benign (LB), or benign (B). These guidelines have become a global standard, with numerous computational approaches having been proposed to automate their application [3].
Currently, a significant number of cardio-germline genes are known, which can be broadly grouped into clusters based on the CVD type they are associated with. Testing for some of these genes has even entered clinical practice for differential diagnosis. For instance, screening for LDLR, APOB, and PCSK9 is recommended as a first-tier investigation for diagnosing familial hypercholesterolemia [4]. In a quarter of individuals with a prolonged QT interval (QTc > 480 ms), either rare monogenic variants (3.4%) or a high polygenic risk (21%) were identified, with variants in KCNQ1 and KCNH2 significantly prolonging the QTc interval [5]. Titin (TTN) variants, associated with cardiac remodeling in healthy individuals, increase the risk of dilated cardiomyopathy (DCM), heart failure (HF), atrial fibrillation (AF), and death by approximately 2.2 times [6]. However, the majority of carriers do not experience these clinical events, indicating the crucial role of triggers. These triggers can be various life events, such as pregnancy, chemotherapy, or intense physical exertion (similar to the case of sudden cardiac death in athletes).
Thus, the mere presence of a genetic variant is insufficient for definitively predicting the risk of CVD development: the majority of currently known pathogenic and likely pathogenic variants exhibit low penetrance. Nevertheless, information about the presence of genetic risk factors can motivate patients to adopt a healthier lifestyle. This information is equally important for the healthcare system. Understanding the genetic burden carried by the population of a specific region allows for forecasting potential disease incidence levels and accounting for the corresponding staffing and financial demands. This fact makes research at the intersection of epidemiology and genetics particularly relevant, enabling the assessment of the prevalence of pathogenic genetic variants both at the level of individual regions and across an entire country.
To date, most clinical studies of genes associated with hereditary CVD have involved patients and families with pre-existing pathologies. In one studied cohort [7] of over 8500 patients referred for cardiac catheterization, pathogenic/likely pathogenic (P/LP) variants in genes associated with cardiomyopathies, arrhythmias, aortopathies, and familial hypercholesterolemia were identified in 4.5% of individuals. However, including only people with already developed cardiovascular pathologies in a study does not permit a reliable assessment of the penetrance of CVD-associated genes. It appears that studies of population cohorts without identified clinical symptoms of CVD are necessary. Such research is already being actively conducted worldwide. For instance, population screening of 21,846 participants without prior indications for CVD genetic testing (eMERGE-III) revealed 0.6% carriers of P/LP variants in arrhythmia genes; for some of them (0.05%), the diagnosis was established only after a genetic test, and functional studies helped reclassify VUS [8].
This study aims to assess the prevalence of pathogenic and likely pathogenic (P/LP) cardio-germline variants in the population of Russia using a representative sample.
MATERIALS AND METHODS
Study Sample
This study is a continuation of a large-scale epidemiological project initiated in 2019 by the Centre for Strategic Planning of the FMBA of Russia to investigate the prevalence of genetic variants associated with the risk of chronic diseases, including cardiac conditions, among the adult population across 86 federal subjects of the Russian Federation. The study was conducted using a population-based sample from the Genetic Database (GDB) of the Russian Population of the Centre for Strategic Planning of the FMBA of Russia.2
The final randomized representative sample included 116,794 individuals from 86 federal subjects of the Russian Federation. The demographic characteristics of the participants (age and sex distribution) are presented in Figure 1. The median age was 51 [ 22;73] years for men and 51 [ 23;75] years for women.

Figure prepared by the authors based on original data
Fig. 1. Age and sex distribution of the study participants
Whole-genome sequencing
DNA was extracted from whole blood samples using the MagAttract HMW DNA Kit (Qiagen, Germany) on an automated robotic station. Whole-genome sequencing libraries were prepared using the Illumina DNA Prep kit (Illumina, USA) according to the manufacturer’s instructions. Whole-genome sequencing was performed on the Illumina NovaSeq 6000 platform using the S4 Reagent Kit (300 cycles) (Illumina, USA) for paired-end reads of 2 × 150 bp. During the demultiplexing stage, sequencing data in BCL format were converted to FASTQ format using Illumina bcl2fastq v2.20. The sequencing run quality was controlled using Illumina Sequencing Analysis Viewer v2.4.7, while the read quality (FASTQ.GZ format) was assessed using the FastQC v0.11.9 bioinformatic tool. Alignment to the reference genome (GRCh38) was performed on the Dragen Bio-IT platform (Illumina, USA). The quality control of alignments (BAM format) was conducted using DRAGEN, FastQC v0.11.9, samtools v1.13, and mosdepth v0.3.1. All samples passed quality control based on key metrics, including the percentage of duplicated reads and the number of unaligned reads. The final mean genome coverage per sample was at least 30x. Detection of single nucleotide polymorphisms (SNPs) and short insertions/deletions (up to 50 bp) was performed using Strelka2 [9]; only variants passing the PASS filter were selected.
Search for pathogenic and likely pathogenic germline variants associated with cardiovascular diseases (CVD)
A search for pathogenic and likely pathogenic genetic variants associated with pathologies of the cardiovascular system was conducted within the study sample, based on the ClinVar database. The following levels of evidence for the relationship between a genetic variant and the development of the corresponding phenotype, as provided by ClinVar (in descending order of strength), were used for annotating the obtained list of variants:
- Practice guideline
Highest level. Interpretation is based on official clinical guidelines from authoritative professional societies. This is the most reliable data for clinical decision making.
- Expert panel
Very high level. The variant has been thoroughly evaluated and approved by an independent expert group (e.g., within the ClinGen consortium). This also constitutes an extremely reliable basis for clinical action.
- Multiple submitters
High reliability. Multiple laboratories have independently reached the same interpretation of the variant, with no conflicting data existing. This is a reliable indicator for use in clinical practice.
- Single submitter
Moderate reliability. The interpretation originates from only one laboratory or research group. Such data require caution and verification through scientific publications or other sources.
- No assertion provided
Low reliability. The submitter provided information about the variant but did not offer any clinical interpretation. This information should not be used for clinical decision making.
The variant search was conducted in 37 genes listed in the 2021 review by the American College of Medical Genetics and Genomics (ACMG) [10], associated with the following types of CVD: aortopathies; arrhythmogenic right ventricular cardiomyopathy; catecholaminergic polymorphic ventricular tachycardia; dilated cardiomyopathy; Ehlers-Danlos syndrome; familial hypercholesterolemia; hypertrophic cardiomyopathy; long QT syndrome types 1, 2, and 3; Brugada syndrome.
Accordingly, the variant search was performed across the following genes: FBN1, TGFBR1, TGFBR2, SMAD3, ACTA2, MYH11, PKP2, DSP, DSC2, TMEM43, DSG2, RYR2, CASQ2, TRDN, TNNT2, LMNA, FLNC, TTN, BAG3, DES, RBM20, TNNC1, COL3A1, LDLR, APOB, PCSK9, MYH7, MYBPC3, TNNI3, TPM1, MYL3, ACTC1, PRKAG2, MYL2, KCNQ1, KCNH2, SCN5A.
Statistical data processing
Statistical data processing and result visualization were performed using the Python programming language (v3.9.12). Intergroup comparison of the number of carriers of genetic variants was conducted using the chi-square test.
RESULTS
Annotation of variants associated with CVD
In the analyzed sample, carriers of pathogenic and likely pathogenic variants were identified in 26 genes (out of 37 examined) associated with various CVDs, namely: hypercholesterolemia (APOB, LDLR), structural heart and vascular abnormalities (BAG3, COL3A1, DES, DSC2, DSG2, DSP, FBN1, FLNC, LMNA, MYBPC3, MYH11, MYH7, MYL2, PKP2, PRKAG2, TMEM43, TNNI3, TPM1, TTN), and rhythm and conduction disorders (CASQ2, KCNH2, KCNQ1, SCN5A, TRDN).
At least one variant in these genes was detected in 1152 (0.98%) participants. The number of unique variants identified was 424, with a cumulative frequency in the entire sample of 0.49%. The most frequently encountered variant was rs5742904 (NC_000002.12:g.21006288C>T) in the APOB gene, with a frequency of 0.0545%. According to the GDB, this frequency is approximately consistent with those obtained in other global projects (frequency in gnomAD v4.1.0 — 0.042%, frequency in ALFA — 0.0441%; no statistically significant differences from the Russian population were found). The frequency of variants associated with hypercholesterolemia was 0.1704%, with structural heart and vascular abnormalities — 0.2218%, and with rhythm and conduction disorders — 0.1040%.
The distribution of the identified variants by level of evidence is presented in Figure 2A. It can be noted that none of the found variants had the “practice guideline” level of evidence.

Figure prepared by the authors based on original data
Fig. 2. Annotation of identified variants according to level of evidence: A — number of identified variants with the corresponding level of evidence in each cardiopathology group; B — proportion of carriers of variants associated with different cardiopathologies, stratified by level of evidence; HC — hypercholesterolemia; AR&C — arrhythmias and conduction disorders; SCVD — structural cardiovascular disorders
Depending on the selected level of evidence, both the overall proportion of carriers of pathogenic and likely pathogenic variants and the proportion of carriers of variants associated with specific cardiopathologies changed. In total, Level A variants (only those with the “expert panel” level of evidence) were carried by 0.14% of individuals. Level B variants (those with “expert panel” and “multiple submitters, no conflicts” levels of evidence) were carried by 0.8%. Level C variants (those with “expert panel,” “multiple submitters, no conflicts,” and “single submitter” levels of evidence) were characteristic of 0.95% of individuals. Level D included all variants and was characteristic of 0.99% of individuals (the entire group of carriers of pathogenic and likely pathogenic variants). The distribution of carriers across variant groups according to the level of evidence and associated cardiopathologies is presented in Figure 2B.
It should be noted that the largest number of variants had the “criteria provided, multiple submitters, no conflicts” level of evidence. Consequently, the sharpest increase in the number of carriers was observed when transitioning from Level A to Level B. The addition of further, less substantiated variants only marginally increased the overall proportion of individuals.
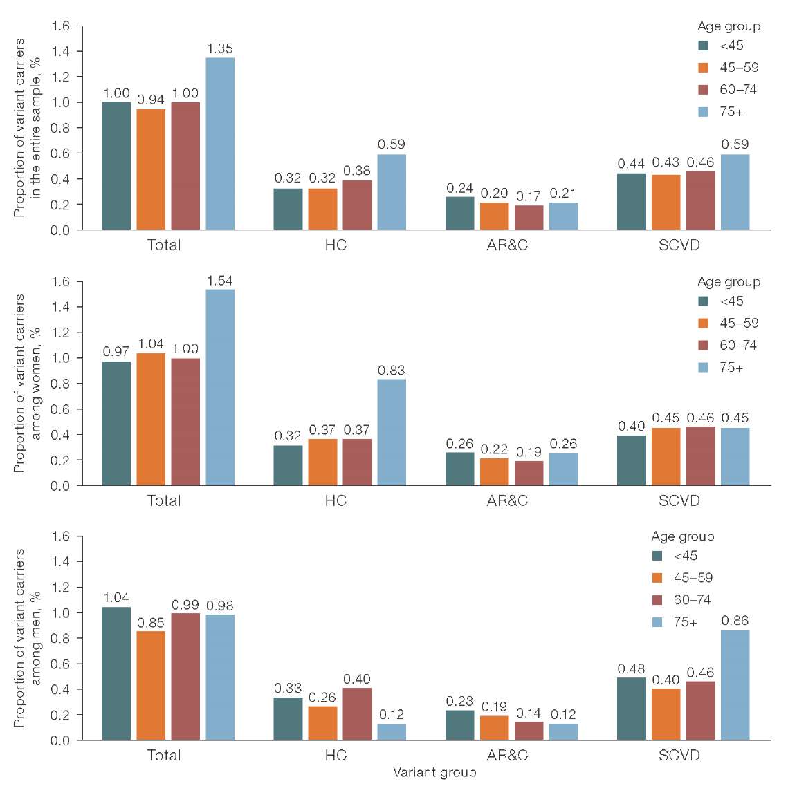
It is important to highlight that the prevalence of pathogenic and likely pathogenic variants in a population typically exhibits an age-dependent dynamic. Carriage of these genetic variants is presumed to negatively impact survival and the likelihood of reaching old age. However, our analysis (Fig. 3) revealed some inconsistencies with this hypothesis. Specifically, the proportions of P/LP carriers, regardless of the associated cardiopathology, changed only marginally from one age group to another from a statistical standpoint.

Figure prepared by the authors based on original data
Fig. 3. Changes in the proportion of carriers of cardio-germline variants across different age groups in the entire sample, and separately among men and women: HC — hypercholesterolemia; AR&C – arrhythmias and conduction disorders; SCVD – structural cardiovascular disorders
Furthermore, we observed, albeit statistically non-significant, an increase in the proportion of carriers of cardio-germline variants in the oldest age category (over 75 years) compared to the others (Fig. 3). This is particularly noticeable for genetic variants associated with familial hypercholesterolemia: in this case, the p-value for intergroup comparison approached the threshold of statistical significance (p-value = 0.065).
Continuing the analysis, we examined the age-related dynamics of cardio-germline variant carriage separately for men and women. For variants associated with hypercholesterolemia, a statistically significant association with age was demonstrated for women (p-value = 0.013). Specifically, they exhibited a significant increase in carrier frequency in the group over 75 years old. Similarly to other groups, women over 75 predominantly carried germline variants in the APOB gene. In contrast, among men in this age group, the proportion of carriers of similar variants drops radically: from 0.4% in the 60–74 age group to 0.12% in the over 75 age group (this finding is not statistically significant, p-value = 0.095).
Analysis of the distribution of pathogenic and likely pathogenic variants across the federal subjects of the Russian Federation
The prevalence of cardio-germline variants is associated not only with age but also with the geographical distribution of the Russian population (Fig. 4). The conducted analysis enabled the creation of a map illustrating the frequency of pathogenic and likely pathogenic variants across different regions of the Russian Federation. The highest frequencies are observed in the Chechnya (6250 variants per 100,000 population), Khakassia (2857 per 100,000), Bryansk Oblast (2632 per 100,000), Kurgan Oblast (2,532 per 100,000), and Murmansk Oblast (2,297 per 100,000). The lowest frequencies are found in Novgorod Oblast (472 per 100,000), Pskov Oblast (437 per 100,000), Crimea (407 per 100,000), Arkhangelsk Oblast (367 per 100,000), and Amur Oblast (321 per 100,000). In Moscow, the prevalence of cardio-germline variants was 1097 per 100,000 population. The overall population frequency is 992 variants per 100,000 population.

Figure prepared by the authors based on original data
Fig. 4. Prevalence map of cardio-germline variants in the population of the Russian Federation
DISCUSSION
This large-scale study, bridging epidemiology and genetics, assessed the prevalence of pathogenic/likely pathogenic (P/LP) variants in certain genes associated with cardiovascular diseases within a representative sample of the Russian population (n = 116,794). The inclusion of 86 federal subjects of Russia enabled a comprehensive overview reflecting the genetic diversity of a vast and ethnically heterogeneous country, unlike studies confined to specific regions or clinical centers. The inclusion of individuals without pre-selection based on cardiac diagnoses provides an estimate of the “hidden” genetic burden within the population, identifying asymptomatic carriers typically missed by clinical screening. Such research establishes a fundamental basis for understanding the population risk of hereditary cardiovascular diseases (CVD) in Russia, which is essential for planning preventive programs and allocating healthcare resources.
The identification of 0.99% (or ~0.14% using the strictest Level A criterion) carriers of P/LP variants in 26 genes associated with CVD within a clinically unselected population confirms the presence of a significant “hidden” genetic burden of CVD in Russia. This aligns with data from international biobanks (e.g., eMERGE-III [11]) and underscores that a substantial proportion of individuals at high genetic risk (estimated at over 90%) are asymptomatic at the time of examination, yet remain at risk for developing fatal outcomes [12].
Furthermore, some particularly rare genetic variants may have been potentially missed within the scope of this study, as also evidenced by the absence of eleven initially considered genes in the final list.
The study revealed substantial geographical variation in the prevalence of cardio-germline variants (321–6250 per 100,000 population). This variability likely reflects the ethnic diversity of the Russian Federation and possible “founder effects,” implying an increased frequency of specific pathogenic variants inherited from a common ancestor, or pathogenic variants that are rare or absent in other populations. Despite the large overall sample size, some regions were represented by a relatively small number of individuals, making statistical fluctuations in frequency estimates more pronounced in these areas. Regions where residents are more frequently carriers of pathogenic variants may require enhanced resources for genetic testing, counseling, and cardiological monitoring.
The absence of a statistically significant decrease in the proportion of P/LP variant carriers in the older age groups (over 75 years) provides compelling confirmation of the low penetrance of most known cardio-germline variants. The presence of a pathogenic allele is not the sole condition for disease development. Its manifestation depends on a complex interplay of genetic and non-genetic factors (age, sex, lifestyle, stress, infections, medication use, and the presence of various triggers).
The high proportion of female carriers of cardio-germline variants in this age group indicates a significantly greater resilience of women to this risk factor compared to men. The higher risk of developing hypercholesterolemia and subsequent ischemic heart disease and myocardial infarction in men is frequently noted in the scientific community, particularly in the context of Familial Hypercholesterolemia (FH) [13][14]. While differences in the carriage of P/LP variants associated with hypercholesterolemia between men and women are explicable, the observed increase in the proportion of female carriers with age raises questions. Two primary explanations exist for this observation. The first relates to the molecular mechanisms underlying hypercholesterolemia, specifically the accumulation of lipids, particularly LDL-cholesterol. Carriers of P/LP variants associated with hypercholesterolemia are prone to enhanced cholesterol accumulation, which can lead to the development of atherosclerotic lesions in the presence of corresponding lifestyle triggers. However, if an individual manages to avoid developing the disease by a certain age, these very mechanisms might, conversely, become protective against many conditions in old age. For instance, we have previously demonstrated a link between elevated body mass index and lipid levels with a successful aging phenotype in long-livers [15].
The second explanation is related to the geographical distribution of the elderly sample. According to Rosstat data, the elderly population is not uniformly distributed across the country: in Moscow and surrounding regions, the proportion of the population over 65 exceeds 20%, whereas in the Far East and the republics of the North Caucasus (e.g., Chechnya, Ingushetia), it is less than 10%. Therefore, when examining different age groups, we are simultaneously shifting the regional composition of the sample, which inevitably influences the observed frequency of P/LP variants.
This interplay between the frequency of P/LP variants and the demographic profile of a region could be another reason for the observed geographical heterogeneity presented in Figure 3. This fact further underscores the necessity of simultaneously accounting for multiple factors (both genetic and non-genetic) when assessing risks, both at the level of an individual organism and at the regional level.
Despite the aforementioned low penetrance, carrying P/LP variants significantly increases the risk of CVD compared to the average population risk. Incorporating information about the presence of P/LP variants in each specific patient, along with data on the prevalence of such variants in the population, will enable the development of optimal protocols for preventive medicine. This, in turn, will contribute to improving the quality of life, extending the working-age lifespan, and reducing mortality in Russia.
CONCLUSION
This study provides unique data on the hidden genetic burden associated with the risk of severe hereditary cardiovascular diseases (CVD) in the Russian population. The identified carrier frequency of pathogenic and likely pathogenic variants (up to 0.99%) underscores both the potential of preventive cardiogenetics and the significant challenges on the path to its implementation. Successfully addressing these challenges will enable a transition from merely identifying carriers to actually reducing the incidence and mortality from hereditary CVD in Russia.
Authors’ contributions. All authors confirm that they meet the ICMJE authorshipcriteria. The major contributions are distributed as follows: Vladimir S. Yudin — methodology development and research conceptualization, formulation of scientific objectives, writing, editing, and final approval of the manuscript; Aleksandra A. Mamchur — formal data analysis, summarization and systematization of results, data visualization, manuscript editing; Mikhail V. Ivanov — software development, data administration, data visualization; Ekaterina A. Nikolaeva — summarization of results, drafting the manuscript; Daria A. Kashtanova — scientific supervision, critical revision of the manuscript text; Veronika V. Daniel — data verification, manuscript editing; Sergey I. Mitrofanov — software development, conducting the study; Anton A. Keskinov — research administration; Lyudmila P. Kuzmina — research leadership and coordination, provision of resources, result verification; Sergey M. Yudin — project administration, provision of resources.
1. Mortality from diseases of the circulatory system (per 100,000 population). URL: https://fedstat.ru/indicator/55382 (access date 21.07.2025).
2. Genetic Database (GDB). FMBA of Russia. Application v1.1.3 of 17.03.2025. Database v59.1 of 03.10.2024. URL: https://gdbpop.nir.cspfmba.ru/ (access date 01.08.2025) (In Russ.).
References
1. Landstrom AP, Chahal AA, Ackerman MJ, Cresci S, Milewicz DM, Morris AA, et al. Interpreting Incidentally Identified Variants in Genes Associated with Heritable Cardiovascular Disease: A Scientific Statement from the American Heart Association. Circulation: Genomic and Precision Medicine. 2023;16(2):e000092. https://doi.org/10.1161/HCG.0000000000000092
2. Richards S, Aziz N, Bale S, Bick D, Das S, Gastier-Foster J, et al. Standards and guidelines for the interpretation of sequence variants: a joint consensus recommendation of the American College of Medical Genetics and Genomics and the Association for Molecular Pathology. Genetics in Medicine. 2015;17(5):405–24. https://doi.org/10.1038/gim.2015.30
3. Zucca S, Nicora G, De Paoli F, Carta MG, Belazzi R, Magni P, et al. An AI-based approach driven by genotypes and phenotypes to uplift the diagnostic yield of genetic diseases. Human Genetics. 2025;144(2–3):159–71. https://doi.org/10.1007/s00439-023-02638-x
4. Trinder M, Francis GA, Brunham LR. Association of monogenic vs polygenic hypercholesterolemia with risk of atherosclerotic cardiovascular disease. JAMA Cardiology. 2020;5:390–9. https://doi.org/10.1001/jamacardio.2019.5954
5. Nauffal V, Morrill VN, Jurgens SJ, Choi SH, Hall AW, Weng LC, et al. Monogenic and polygenic contributions to QTc prolongation in the population. Circulation. 2022;145:1524–33. https://doi.org/10.1161/CIRCULATIONAHA.121.057261
6. Asatryan B, Murray B, Tadros R, Rieder T, Shah RA, Dabbagh GS, et al. Promise and Peril of a Genotype-First Approach to Mendelian Cardiovascular Disease. JAHA. 2024;13(21):e033557. https://doi.org/10.1161/JAHA.123.033557
7. Abdulrahim JW, Kwee LC, Alenezi F, Sun AY, Baras A, Ajayi TA, et al. Identification of Undetected Monogenic Cardiovascular Disorders. JACC. 2020;76(7):797–808. https://doi.org/10.1016/j.jacc.2020.06.037
8. Glazer AM, Davogustto G, Shaffer CM, Vanoye CG, Desai RR, Farber-Eger EH, et al. Arrhythmia variant associations and reclassifications in the eMERGE-III sequencing study. Circulation. 2022;145:877–91. https://doi.org/10.1161/CIRCULATIONAHA.121.055562
9. Kim S, Scheffler K, Halpern AL, Bekritsky MA, Noh E, Kallberg M, et al. Strelka2: fast and accurate calling of germline and somatic variants. Nature Methods. 2018;15:591–4. https://doi.org/10.1038/s41592-018-0051-x
10. Miller DT, Lee K, Abul-Husn NS, Amendola LM, Brothers K, Chung WK, et al. ACMG SF v3.1 list for reporting of secondary findings in clinical exome and genome sequencing: A policy statement of the American College of Medical Genetics and Genomics (ACMG). Genetics in Medicine. 2022;24:1407–14. https://doi.org/10.1016/j.gim.2022.04.006
11. Parikh VN. Promise and Peril of Population Genomics for the Development of Genome-First Approaches in Mendelian Cardiovascular Disease. Circulation: Genomic and Precision Medicine. 2021;14(1):e002964. https://doi.org/10.1161/CIRCGEN.120.002964
12. Bagnall RD, Weintraub RG, Ingles J, Duflou J, Yeates L, Lam L, et al. A Prospective Study of Sudden Cardiac Death among Children and Young Adults. The New England Journal of Medicine. 2016;374(25):2441–52. https://doi.org/10.1056/NEJMoa1510687
13. Gouni-Berthold I, Laufs U. Special Aspects of Cholesterol Metabolism in Women. Deutsches Arzteblatt. 2024;121(12):401–6. https://doi.org/10.3238/arztebl.m2024.0063
14. Klevmoen M, Mulder JWCM, Roeters van Lennep JE, Holven KB. Sex Differences in Familial Hypercholesterolemia. Current Atherosclerosis Reports. 2023;25(11):861–8. https://doi.org/10.1007/s11883-023-01155-6
15. Kashtanova DA, Taraskina AN, Erema VV, Akopyan AA, Ivanov MV, Strazhesko ID, et al. Analyzing Successful Aging and Longevity: Risk Factors and Health Promoters in 2020 Older Adults. International Journal of Environmental Research and Public Health. 2022;19(13):8178. https://doi.org/10.3390/ijerph19138178
About the Authors
V. S. YudinRussian Federation
Vladimir S. Yudin, Cand. Sci. (Biol.)
Moscow
A. A. Mamchur
Russian Federation
Aleksandra A. Mamchur
Moscow
M. V. Ivanov
Russian Federation
Mikhail V. Ivanov
Moscow
E. A. Nikolaeva
Russian Federation
Ekaterina A. Nikolaeva
Moscow
D. A. Kashtanova
Russian Federation
Daria A. Kashtanova, Cand. Sci. (Med.)
Moscow
V. V. Daniel
Russian Federation
Veronika V. Daniel, Cand. Sci. (Med.)
Moscow
S. I. Mitrofanov
Russian Federation
Sergey I. Mitrofanov
Moscow
A. A. Keskinov
Russian Federation
Anton A. Keskinov, Cand. Sci. (Med.)
Moscow
L. P. Kuzmina
Russian Federation
Lyudmila P. Kuzmina, Dr. Sci. (Biol.)
Moscow
S. M. Yudin
Russian Federation
Sergey M. Yudin, Dr. Sci. (Med.), Professor
Moscow
Review
For citations:
Yudin V.S., Mamchur A.A., Ivanov M.V., Nikolaeva E.A., Kashtanova D.A., Daniel V.V., Mitrofanov S.I., Keskinov A.A., Kuzmina L.P., Yudin S.M. Hidden burden of chronic non-communicable diseases. Part 1. Prevalence of germline variants associated with cardiovascular diseases in Russian population. Extreme Medicine. 2026;28(1):19-27. https://doi.org/10.47183/mes.2025-370
JATS XML








